
一、引 言
当下,中国发展进入战略机遇和风险挑战并存、不确定性因素增多的时期,各种“黑天鹅”“灰犀牛”事件时有发生,“堵链”“断链”风险不断加剧,这对供应链安全和稳定提出了新的挑战。目前,依托“双循环”新发展格局,实现供求间、企业间、产业间的协调运转,既是保证国民经济“动”起来的迫切要求,也是稳定产业链供应链的必然选择。党的二十大报告明确提出要“着力提升产业链供应链韧性和安全水平”,在此背景下,中国亟须引入新的动力源以重塑供应链网络,从而更好地防范供应链风险。在新一轮科技革命和数字浪潮席卷之下,人工智能等新兴技术正迅速应用于制造业生产的方方面面,2023年世界人工智能大会披露的数据显示,中国人工智能核心产业规模已达到
作为构成供应链各个环节的微观主体,企业是影响供应链衔接和上下游联系的重要节点。伴随专业化分工程度的日益深化,现已逐渐形成了以“上游供应商—核心企业—下游客户”为主要链条的供求合作关系网络。而本文探究的供应链嵌入,正是基于企业间共享商业关联所形成的贸易网络进行识别,本质上是从微观层面研究供应链上下游企业之间的共享协作关联和网络的复杂结构变化。与本文关联密切的一支文献探讨了企业嵌入供应链网络的经济效果,该影响主要体现在能够帮助企业通过共享商业伙伴的渠道来扩散其合作脉络(Acemoglu等,2012;Bernard等,2019),以及帮助企业减少对大客户的依赖,从而更好地应对供应风险(包群和但佳丽,2021)。由此可见,企业嵌入供应链网络对于供应链产业链安全稳定会产生重要且持久的影响,然而,不同于对传统供应链网络地位的测算,针对企业供应链网络嵌入的研究仍较为缺乏。
关于人工智能应用能否成为推动企业商业模式重塑和赋能供应链嵌入的新路径,既有文献尚未得出明确结论。支撑本文研究的相关文献主要从企业的数字化转型入手,揭示了数字技术发展应用对于供应链布局优化的促进作用和影响机理,这一影响主要体现在供应链管理实践中的风险控制、效率提升和韧性巩固。例如,巫强和姚雨秀(2023)指出,中国企业数字化转型可以显著降低供应链集中度,促进供应链配置多元化和分散化,从而能助力控制系统和非系统风险;刘骏和张义坤(2023)发现,企业数字化转型能通过降低供应链集中度而提高供应链效率,特别是人工智能、区块链等技术的应用对供应链效率赋能效果显著;类似地,李万利等(2023)认为,数字化转型能显著提升企业与供应商及客户之间的地理距离,拓宽供应链地理分布,从而帮助企业与更多远距离供应商和客户建立合作关系。然而,部分学者的研究也表明,数字技术的渗透可能会增加企业在组织结构管理中的潜在不确定性风险(Büyüközkan和Göçer,2018)。与此观点类似,Fatorachian和Kazemi(2021)的研究认为,推动数智转型和数字技术的引入需要较高的前期成本,这可能会对企业产生一定程度的资金融通约束,不利于企业在供应链中的嵌入。可见,数字技术的应用在供应链管理实践中发挥着至关重要的作用,作为数字技术的代表,人工智能技术与制造业的融合渗透正在日益加深,其能否或如何在企业嵌入供应链网络中发挥赋能效应,仍缺乏相应的经验证据支持。特别是企业在数智转型过程中可能面临的外源风险(如市场风险)和内部风险(如运营风险、财务风险),一定程度上会对人工智能的应用效果产生冲击,而鲜有相关文献对此进行详实的检验,这为本文研究提供了空间。
当下数字技术的迅速突破使得该领域的研究成为热点。人工智能具有溢出带动性更强的“头雁”效应,对实体经济展现出更为强大的赋能效果。伴随“人工智能+”概念被写入政府工作报告,人工智能创新成果与传统行业正在深度融合,在制造业生产中的渗透性不断增强、应用程度不断提高。同时,人工智能相较其他数字技术在策略层面具有更加突出的表现,面对供应链生产环节的复杂信息,其能通过设备及场景赋能做到高效处置,为生产、仓储、运输、协同以及匹配等方面提供决策支撑力。鉴于此,从人工智能领域开展对企业供应链嵌入的研究对理解引领型数字技术在制造业应用进程中发挥的供应链赋能作用意义重大。基于中国上市企业的供应商客户数据,本文对企业间共享商业关联形成的信息网络进行识别,结合国际机器人联合会(以下简称IFR)公布的工业机器人数据考察人工智能应用对企业供应链嵌入的影响,边际贡献在于:第一,聚焦共享商业关联的网络结构视角,为研究供应链脆弱性治理提供新的思路,丰富了数智赋能对产业链供应链安全影响的研究范畴。第二,揭示了人工智能应用影响企业供应链嵌入的作用渠道,并在不确定性风险的多种维度下考察了人工智能应用效果的异质性,厘清了技术、风险与供应链嵌入间的联系,补充了既有文献。第三,以往研究对供应链共享网络的形成及影响因素探讨不深。本研究有助于在技术驱动的新经济环境下理解企业嵌入供应链的决策成因,为进一步优化供应链配置提供了系统的理论指导。
二、理论分析和研究假说
(一)人工智能应用对企业供应链嵌入的影响
在以往传统供应链上下游买卖关系中,各个环节之间的可见性极其有限,而现代供应链在信息技术加持下,企业间即使不存在直接经营交易行为,通过商业关系共享和投入产出结构调整,两企业之间仍能够实现间接联系(Acemoglu等,2012)。这种由共享供需信息而衍生的复杂拓扑结构,构成了本文所指的企业供应链嵌入。企业数智转型及智能化技术的大规模应用,在极大程度上改变了企业的组织决策以及供应链配置(袁淳等,2021;巫强和姚雨秀,2023)。作为前沿数字技术的代表,人工智能技术发展创新快、应用渗透强,其能够通过赋能效应深刻改变制造业生产模式和经济形态,
(二)人工智能应用影响企业供应链嵌入的渠道机制
1. 成本控制效应。嵌入供应链成本的高低是制约企业间合作与联络的关键,受限于企业间地理距离等外部因素,各企业在采购销售过程中可能面临产品调度困难、货运时间延长等问题(李万利等,2023),在供应链管理时难以实现多元化配置。同时,信息不对称和要素流通不畅也增大了企业的信息摩擦成本和供需匹配成本,使得企业潜在合作需求受阻,更难嵌入供应链网络。人工智能应用有助于帮助企业实现成本控制,从而赋能其供应链嵌入,这主要体现在两个方面:其一,人工智能应用赋能各行业的仓储物流智能升级,通过降低企业的仓储运输成本促进企业供应链嵌入。具体来说,人工智能技术的应用以及相关设备布设能够促进物流系统的有效链接,提升原材料和中间品向成品转移的速度,以及成品向需求终端转移的效率,有效降低仓储运输成本(胡安俊,2022)。特别是工业机器人在各行业的应用,大幅替代了简单重复工作的人工,降低了成本损耗(Graetz和Michaels,2018)。例如,搬运、码垛等机器人的大规模投入,加快实现了物流链条的智能化升级,有效降低了企业嵌入供应链的仓储运输成本。其二,人工智能应用能推动上下游信息共享以及要素资源流通,通过降低企业的信息摩擦成本和供需匹配成本促进企业供应链嵌入。一方面,人工智能等数字技术的突破能够帮助企业提高其信息获取、检索和处理能力(McGuire等,2012;Goldfarb和Tucker,2019),使得企业更为快速精准地获取原先难以收集的信息,从而打破“数据孤岛”,降低企业的信息摩擦成本,方便企业间建立供需联络。另一方面,在人工智能技术的支撑下,智能化设备应用和数字化平台搭建能显著提升供求双方信息共享的速度与深度,有效降低企业与供应商及客户间交流的边际成本,提升不同主体间的可见性(陈剑等,2020)。此外,人工智能等数字技术的应用,能够发挥在生产要素间连接的跨组织渗透能力,有助于畅通要素流动通道(Conceição等,2001),提高供应链企业间的协作效率,降低供求协调成本。据此,本文提出假说2:人工智能应用能够通过成本控制效应助推企业实现供应链嵌入。
2. 分工专业化效应。分工决策是企业在供应链管理实践中的重要组成部分,在利润最大化原则下,企业选择不同的组织形式来满足自身的生产需求(Coase,1937)。当企业选择在市场开展横向专业化分工来实现资源配置和协作时,其会将生产过程中的不同环节分配给其他企业(例如外包中间品)。与纵向一体化生产相比,这种生产组织安排使企业在上下游协作中需要关注更多的潜在商业关联伙伴,拓展与产业链上各个企业节点之间的协作关系(袁淳等,2021)。这也意味着相较一体化分工,专业化分工模式的深化使得企业嵌入供应链网络的动机更强,从而提高企业拓展伙伴关系的积极性,加大其供应链嵌入可能。伴随新兴数字技术的发展,以人工智能为首的技术应用赋能极大地推动了企业边界向横向分工方向转移,进而催化引领企业专业化分工模式发展(张誉夫等,2024)。企业应用人工智能后,专业化分工深化程度显著增加,在生产实践中表现出更强的产业链供应链协作需求,并更倾向于在市场中与其他供应链节点开展交换来实现自身的资源配置优化与生产效率提升,这为企业嵌入供应链网络提供了重要的需求引导。据此,本文提出假说3:人工智能应用能够通过分工专业化效应助推企业实现供应链嵌入。
三、研究设计
(一)样本选择与数据来源
本研究主要使用的数据包括:①CSMAR数据库和CNRDS数据库中2007—2019年中国A股制造业上市公司财务数据和供应链数据;②IFR发布的工业机器人安装量数据。在数据处理过程中,进行如下筛选与处理:①剔除ST类、PT类企业样本;②剔除数据存在严重缺失的样本;③对文中主要连续型变量作上下1%的缩尾处理。最终得到
(二)变量定义
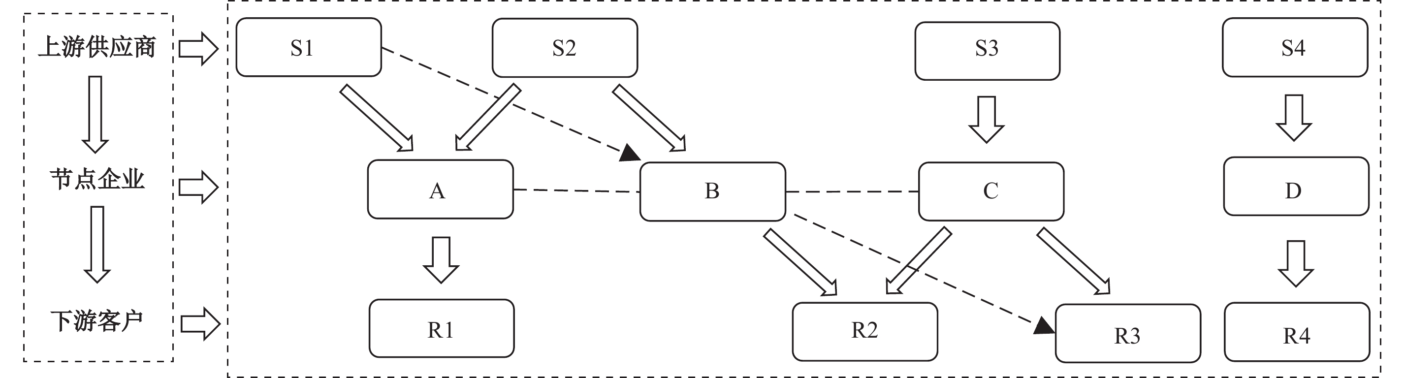
1. 被解释变量:企业供应链嵌入(chain)。既有研究对供应链管理与配置的测度方法较多,如,巫强和姚雨秀(2023)使用大客户和供应商占比计算供应链集中度来衡量供应链配置的多元化;陶锋等(2023)则从上下游企业供需关系稳定性的视角来进行测度。不同于上述文献的测度,本文在上市公司供应链数据中突出“关系共享”的概念,借鉴Acemoglu等(2012)思路,从生产网络角度刻画企业“嵌入”供应链网络的强度、深度及结构差异。这种测度能够较好地反映各个企业节点间的潜在关系往来,并捕捉到可能存在的“连锁效应”,即一个部门的生产率冲击不仅会传递到其下游客户,还会传递到供应链网络中的其他部门,因此能够更加精细地体现供应链共享协作关联和复杂结构变化。如图1所示,本文根据“链长”的不同,将网络结构区分为一阶关联与二阶关联。以图1为例,假定市场上有4家不同的节点企业A、B、C、D。节点企业A拥有两家不同上游供应商S1和S2,其中,供应商S2由企业A、B所共享(即A、B均从S2采购原材料)。此时,由于A、B两企业在供应端结构上拥有一定程度的相似性,使得企业B在投入品的需求上与A存在重叠,因此B有机会接触到A的其他上游供应商S1(图1中以虚线箭头连接)。尽管原来二者间不存在直接交易关系,但是得益于共享关系链接的供应链网络,企业B与供应商S1之间的匹配成本大幅削弱。类似地,当企业B、C共享下游客户R2时,B、C两企业在需求端结构上的相似性使得企业B在制成品的需求上与企业C存在重叠,因此企业B有机会接触到企业C的其他下游客户R3。上述以共享供应商或客户的“短链”结构形成了供应链网络的一阶关联。进一步地,若企业B与A共享供应商S2,同时又与C共享客户R2,那么,在企业A、C分别与B存在一阶关联的基础上,将会形成A与C两企业之间的二阶关联。相较一阶关联,二阶结构下形成的供应链网络更复杂,使企业间供需匹配的潜在选择更多样。
|
| 图 1 企业嵌入供应链网络的拓扑结构 |
参考Acemoglu等(2012)、包群和但佳丽(2021)的做法,首先,本文根据各上市企业前五大供应商和客户信息,将拥有共享关系的上游供应商和下游客户进行提取,随后识别具有间接关联的上市企业,最终得到各上市企业的供应链嵌入情况(chain)。若某上市企业i在t年存在共享供应商或共享客户联系,那么chain取1,表示该企业在该年份通过共享关系嵌入了供应链网络;反之,该指标取值为0,表示该企业只是简单参与供应链而非嵌入其中(如图1中S4–D–R4的情况)。其次,根据图1所示共享供应商和客户关系识别出各上市企业的二阶关联嵌入情况(chain_Sec),若企业i在t年以二阶共享关联结构嵌入供应链网络(同时存在共享客户和供应商联系),则该指标取1,否则取0。最后,统计企业i在t年份存在的共享关系数量(包括共享供应商和共享客户关联之和),构建供应链嵌入替代指标(chain_Deg),以进行稳健性检验。
2. 核心解释变量:人工智能(AI)。作为人工智能的代表,工业机器人是信息技术和高新科技应用于制造业生产的重要实践成果,本质上其体现了“机器”和“智能算法”的深度融合。从简单搬运装配到复杂技术决策,机器人能够通过编程完美地实现各种高精度任务的操作,其在制造业中的渗透、融合以及应用程度正不断提升。因此,本文直接使用工业机器人渗透度作为所研究样本(制造业企业)中人工智能应用程度的衡量标准(李静等,2023)。相较于既有文献对企业年报中人工智能词频的文本分析,直接使用工业机器人作为代理变量更能体现人工智能在各企业供应链流程中的应用。本文参考王永钦和董雯(2020)的研究,将行业层面工业机器人渗透度分解至企业,以衡量各上市公司的人工智能程度。分解权重是以基期(t=2007)各企业生产部门员工数量(pemp)占制造业所有企业生产部门总就业中值(indpemp)的份额决定。计算公式为:
| $ \begin{array}{c}AI_{ijt}=\mathit{\mathrm{ln}}\left(\dfrac{pemp_{ijt=2007}}{ind_{pempt=2007}}\times\dfrac{stock_{jt}^{CN}}{L_{jt=2007}^{CN}}+1\right)\end{array} $ | (1) |
其中,AI为计算得到的j行业内i企业在t年份的人工智能应用程度,
3. 控制变量。参考已有文献,本文控制了以下变量:企业年龄(age),使用企业上市年限的对数值表示;企业规模(size),使用当年年末总资产的对数值衡量;资本密集度(ci),用总资产与营业收入之比的对数值表示;杠杆率(lev),使用企业总负债与总资产的比值衡量;融资约束(ww),使用WW指数表示;经营负债(debt),使用企业经营负债与负债总额的比值表示;总资产净利润率(roa),使用企业净利润和资产总和的比值衡量;股权制衡度(own),使用企业第二大至第五大股东持股比例与第一大股东持股比例的比值表示;行业规模(indscale),使用行业内企业个数加1的对数值衡量;行业集中度(hhi),参考赫芬达尔—赫希曼指数的计算方式,使用行业内所有企业市场占有份额的平方之和衡量。
(三)模型设定
为实证探究人工智能应用(AI)对企业供应链嵌入(chainit)的影响,本文构建Logit模型进行检验,
| $ Pr\left({chain}_{it}=1\mid {X}_{it},\beta ,{\mu }_{i}\right)=\Lambda \left({\mu}_{i}+{X}^{'}_{i,t}\; \beta \right)=\frac{{e}^{{\mu }_{i}+{X}_{i,t}^{{'}}\;\beta }}{1+{e}^{{\mu }_{i}+{X}_{i,t}^{{'}}\;\beta }} $ | (2) |
式(2)中各变量下标中的i和t分别代表企业和年份,Λ(•)为逻辑分布的累积分布函数。chainit为本文被解释变量,表示上市企业i在t年的供应链嵌入情况;Xit为解释变量向量,包括核心解释变量AIit,以及一系列可能影响企业供应链嵌入的控制变量向量;β为系数向量;μi为固定效应。不同回归中分别控制了企业(Firm)、年度(Year)和行业(Industry)固定效应。
(四)统计分析
在本文样本区间内,嵌入供应链网络的样本总数为
四、实证分析:人工智能应用在企业供应链嵌入中的角色
(一)基准回归
参考杜立和钱雪松(2021)的做法,表1列(1)—列(4)同时汇报了不同Logit方法的回归结果。列(1)结果显示,在混合Logit模型下,AI估计系数显著为正。与之类似,列(2)在使用面板固定效应Logit回归时,核心解释变量仍显著为正。
| chain | chain_Sec | |||||||
| (1)混合 Logit |
(2)固定效应 Logit |
(3)随机效应 Logit |
(4)边际效应 | (5)混合 Logit |
(6)固定效应 Logit |
(7)随机效应 Logit |
(8)边际效应 | |
| AI | ||||||||
| ( |
( |
( |
( |
( |
( |
|||
| Controls | 控制 | 控制 | 控制 | 控制 | 控制 | 控制 | ||
| Firm | 不控制 | 控制 | 控制 | 不控制 | 控制 | 控制 | ||
| Year/Industry | 控制 | 控制 | 控制 | 控制 | 控制 | 控制 | ||
| 观测值 | 10 424 | 5 407 | 10 424 | 9 157 | 2 495 | 9 157 | ||
| 企业数 | 740 | 1 907 | 310 | 1 844 | ||||
| Pseudo R2 | 0.1297 | |||||||
| 注:*、**、***分别表示10%、5%、1%的显著性水平,括号内为标准误。下表统同。 | ||||||||
企业在嵌入供应链时除最常见的一阶关联外,可能会因为共享网络而形成二阶供应链嵌入,这种嵌入相较一阶嵌入“链长”更长,反映了企业间更为复杂的网络结构。为进一步探究人工智能对上述供应链嵌入网络结构的影响,本文使用各上市企业是否以二阶关联嵌入(chain_Sec)替换原有被解释变量进行检验,结果见表1列(5)—列(8)。可以看到,解释变量系数在各列中均显著为正。边际效应结果显示,引入人工智能后,企业二阶嵌入供应链网络的概率提高了8.24%。这表明人工智能应用对供应链网络结构具有深化作用,除一阶供应链嵌入外,人工智能应用还显著提高了企业二阶嵌入的概率。相比之下,更长的“链长”拓展了间接商业关联并能给企业带来更多的潜在合作可能,但相隔较远的步长一定程度上限制了企业与客户或者供应商匹配的精确性(包群和但佳丽,2021),且从样本的统计来看,以二阶结构嵌入供应链网络的上市企业占比极少,因此本文后续仍将研究重点放在企业在供应链的一阶嵌入上。
(二)稳健性检验
1. 替换被解释变量设定。本文在基准回归中采用0/1变量反映供应链网络嵌入情况,事实上,拥有多个共享供应商或客户的企业与仅有一个共享关系的企业在供应链网络嵌入程度上存在一定差异。为进一步探究人工智能对上述供应链嵌入深度的影响,本文使用各上市企业在各年份共享关联数量(chain_Deg)替换原有被解释变量进行检验。
2. 替换核心解释变量测度方法。为避免由于核心指标衡量偏误而导致的因果推断失误,本文用其他测度方法重新检验。其一,参考何勤等(2020)的做法,用上市公司采用企业机器设备的价值与员工人数之比(AI2)衡量企业人工智能技术的采纳程度;其二,借鉴姚加权等(2024)的做法,选取“人工智能”“机器学习”“物联网”“云计算”等词语作为种子词生成人工智能词典,使用文本挖掘法对样本公司年报的“管理层讨论与分析”部分进行关键词提取,根据人工智能关键词占该模块词汇比重(AI3)替代原指标进行再检验。结果显示,在替换人工智能应用的测度方法后,其对企业供应链嵌入的正向促进作用并未受到影响,基准回归结果是稳健的。
3. 考虑不同估计方法。为了使文章基准回归的结果更可靠,本文使用不同的估计方法对样本进行重新估计:其一,使用伪泊松最大似然估计(PPML)模型再检验。考虑到供应链嵌入变量为0/1变量,使用PPML方法能够较好地处理被解释变量中普遍存在零值的问题。其二,使用混合Probit模型再检验。同Logit模型类似,Probit模型也可以估计自变量与二元响应变量之间的关系,因此选择混合Probit模型作为基准回归结果的补充。其三,使用动态面板再估计。考虑到企业嵌入供应链网络可能存在持续性,即如果企业上一年和某供应商或客户合作,则下一年依然存在合作惯性。参考杜立和钱雪松(2021)的做法,本文引入被解释变量一阶滞后项并使用差分GMM方法进行估计,以控制潜在惯性影响。结果显示,无论采用何种估计方法,人工智能应用对企业供应链嵌入的影响依然显著,说明估计方法的选择并未改变本文基本结论。
4. 考虑更多控制变量。本文从地区维度考虑更详尽的地区层面控制变量,以最大可能地规避这些因素的干扰。具体如下:城市人口密度(popu_prov),用各企业所在地级市人口数量与土地面积的比值表示,城市人口密度一定程度上反映了该地区的市场规模,而市场需求的变动可能会影响企业嵌入供应链网络的决策;高速公路里程(freight_city),用各企业所在地级市的高速公路里程的对数值衡量,陆路运输仍是企业间原材料和产出品交换的重要承载方式,企业所在地区的交通基建水平与企业的供应链配置决策息息相关。考虑这些因素后,文章结论未改变。
5. 剔除政策干扰。其一,剔除供应链相关政策对供应链网络的扰动。2018年商务部等八部门在全国范围内开展供应链创新与应用城市试点和企业试点,这导致企业嵌入供应链网络的潜在趋势可能受到上述政策干扰,因此本文在研究样本中删除试点名单中的试点企业和城市后对新样本进行再估计。
(三)内生性检验
本文内生性的潜在来源主要表现在:一方面,企业应用人工智能技术可能会通过多种渠道推动企业嵌入供应链网络中;另一方面,供应链嵌入的大趋势也可能为企业创造引入人工智能技术的需求。为此,本文参考Acemoglu和Restrepo(2019)的研究,利用美国行业层面工业机器人渗透度生成工具变量(AI_IV),并用IV–Probit方法重新进行估计。
第一阶段F检验以及wald检验结果表明,本文工具变量的选取是有效的。第二阶段回归结果显示,使用工具变量法进一步处理内生性问题后,解释变量的系数符号及显著性水平一致,基准回归结论未改变;同时,人工智能应用的估计系数相较基准回归略高,这表明在不考虑模型内生性问题的情况下,会在一定程度上低估人工智能应用对企业供应链嵌入的正向影响。
五、机制检验:基于成本与分工的视角
前文指出,人工智能应用能通过成本控制和分工专业化两条路径增加企业嵌入供应链网络的概率。本文借鉴Rajan和Zingales(1998)的研究,构建交互项模型对作用渠道进行检验。
(一)成本控制效应
前文分析人工智能促进企业供应链嵌入的机制为降低企业面临的仓储运输成本、信息摩擦成本和供需匹配成本,因此本文预期,如果交易成本的降低是人工智能促进企业供应链嵌入的重要渠道,那么人工智能应用的引入应当更有利于这些成本原本就较高的企业,人工智能应用对该类企业产生的正向影响应该更深,即人工智能在这些企业中的使用会对其供应链嵌入带来更加显著的促进效果。本文首先借鉴李兰冰等(2019)的做法,根据企业所在行业的仓储和交通成本特征构建仓储运输成本指标(cost1)。具体地,本文计算出2007年中国投入产出表中交通运输及仓储业的增加值占各行业增加值总值的比例,以此作为对各行业仓储运输成本的度量。对于信息摩擦成本和供需匹配成本:首先,参考李万利等(2023)的思路,选择企业前五大供应商和客户中非上市公司的交易额占比来反映企业获取外部信息的能力。相对于非上市公司,上市公司信息透明度和知名度往往更高,更易受到分析师、机构投资者和媒体等信息媒介的关注(李万利等,2023)。对该指标取相反数并作负数化处理得到企业信息约束度指标(cost2),该数值越高,表示企业挖掘供应商和客户信息的能力越弱,面临的信息摩擦成本越高。其次,参考Cachon等(2007)的思路,根据企业生产和需求波动性之比得到的供需偏离度构建供需匹配成本指标(cost3)。生产和需求波动性分别使用企业季度的生产量和销售额表示,其中,生产量使用季度存货增加值与营业成本之和衡量,销售额使用主营业务收入与其他业务收入总和衡量。
成本控制效应的具体估计结果列于表2列(1)-列(3),本文重点关注交乘项系数的符号与显著性。可以看到,前三列交互项的估计系数均显著为正。这表明企业在供应链中面临的各类初始成本越高,人工智能应用越能实现此类企业的成本控制,降低其参与供应链交易的负担,对企业供应链嵌入的促进作用会更强。上述检验结果说明,人工智能技术确实能通过降低企业供应链环节中的仓储运输、信息摩擦及供需匹配成本来推动供应链嵌入效果,上述结论符合本文预期。
| (1)chain | (2)chain | (3)chain | (4)chain | |
| AI×cost1 | ||||
| ( |
||||
| AI×cost2 | ||||
| ( |
||||
| AI×cost3 | ||||
| ( |
||||
| AI×vsi | ||||
| ( |
||||
| Controls | 控制 | 控制 | 控制 | 控制 |
| Firm/Year/Industry | 控制 | 控制 | 控制 | 控制 |
| 观测值 | 9 894 | 6 002 | 10 191 | 9 148 |
| 企业数 | 1 859 | 1 123 | 1 883 | 1 753 |
(二)分工专业化效应
若人工智能能通过促进专业化分工而赋能企业供应链嵌入,那么可以推测,人工智能应用应当更有利于推动分工程度较弱的企业提高其供应链嵌入度。这类企业在人工智能深化的过程中应该能够帮助企业发掘更多原本受限于生产环节和生产边界而未产生联系的供应商和客户,从而提高其嵌入概率。为此,本文借鉴袁淳等(2021)的研究构建企业专业化分工程度指标(vsi),将该指标及其与核心解释变量交互项引入基准模型中。表2列(4)结果显示,交乘项估计系数显著为负,这表明初始分工水平越低的企业,应用人工智能对其开展专业化分工以实现资源配置的推动效果越强,进而对企业供应链嵌入越有利。伴随企业专业化分工的逐步开展,人工智能应用的效果随之减弱。上述检验结果说明,人工智能技术是促进企业专业化分工和提升企业生产效率的重要引擎,其驱动的新动能有助于优化资源配置以重塑企业边界,能有效拓展企业间合作契机,从而可以推动嵌入供应链网络趋势的形成。
六、进一步分析:基于不确定性风险的视角
在供应链实践中,无法忽视风险对企业供应链决策的冲击。既有研究指出,当企业面临供应链风险或感知到高度不确定性时,其往往会选择多元化的客户或是更密切地与国内供应商建立关系来管理供应链风险(Ersahin等,2024)。不同的外源风险(如市场风险)和内部风险(如运营风险、财务风险)可能会使人工智能应用对供应链嵌入的影响产生较大差异。鉴于此,在当前不确定性因素增多的背景下,有必要从“风险”视角对前文结论进行重新解构。考虑到不确定性因素来源多样,本文将不确定性风险拆解到企业、行业以及供应链维度进行探究。
(一)基于企业风险特征的视角
从企业维度来看,不同的企业性质与企业特征会导致其在面临机会主义风险、资金断链风险、经济波动风险等不确定性因素时表现出差异化的决策行为。为考量企业维度的风险异质性,本部分从企业资源地位、所处生命周期以及对不确定性感知三方面的差异入手来分析人工智能应用的异质性效果。
1. 企业资源地位差异。在供应链实践中,企业节点的资源地位是影响上下游与之合作的重要因素(巫强和姚雨秀,2023)。企业优势地位越强,其在供应链中的议价权和谈判地位越强,上下游合作方“敲竹杠”等机会主义风险发生的可能性就越小(Fan,2000)。对国有企业而言,其特殊的国资地位使得其接受到的融资红利和优惠政策更多,此类企业在供应链中往往被视为“利好”节点,享有更高的资源地位优势,上下游企业也更想与之合作。反之,非国有企业相对资源地位较差,可能会面临较高的机会主义风险。为此,本文根据企业所有权性质进行分组检验。如表3列(1)和列(2)显示,解释变量系数仅在资源优势较低的分组中显著,即人工智能应用的供应链嵌入效果在资源优势地位较低的企业中更为突出。当企业优势地位较低时,企业更倾向于通过数字化转型推动供应链配置多元化(巫强和姚雨秀,2023),面对更大的机会主义风险时,人工智能技术对企业分散供应链、拓展合作脉络的作用效果更加明显。因此,此类企业更有意愿也更需要嵌入供应链网络,以更好应对不确定性风险。
| (1)资源地位高 | (2)资源地位低 | (3)初创期 | (4)非初创期 | (5)不确定感知强 | (6)不确定感知弱 | |
| AI | ||||||
| Controls | 控制 | 控制 | 控制 | 控制 | 控制 | 控制 |
| Firm/Year/Industry | 控制 | 控制 | 控制 | 控制 | 控制 | 控制 |
| 观测值 | 1 488 | 8 898 | 5 208 | 5 163 | 5 886 | 3 928 |
2. 所处生命周期差异。根据企业生命周期理论,处于不同阶段的企业在生产经营和组织特征方面存在较大差异。相较于初创企业,成熟期企业的技术更加完备,资金积累及融资能力更加稳定,断链风险更小。因此,在考虑资金风险掣肘的情况下,人工智能应用对不同生命周期阶段企业的供应链嵌入作用可能不尽相同。本文参考李贲和吴利华(2018)的思路,根据企业年龄将生命周期划分为初创期(1—6年)和非初创期(7年及以上)两组进行检验。对于企业而言,在实现产业智能化的初期需要投入较高的成本,而初创期企业亟须抢占市场和扩大规模,其内源资金难以满足企业对供应链数字化基础设施建设的资金需求,此时企业应用人工智能面临的资金断链等经营风险更高(张树山和谷城,2024)。与之相比,成熟期企业拥有更为完善的经营模式、组织架构以及更加成熟的技术团队,无论是在研发效率还是风险应对方面都有着更大的优势,因此这类企业更能够较好地引入和应用人工智能技术。表3列(3)和列(4)结果显示,人工智能应用对企业供应链嵌入的推动作用在非初创期的企业中更为突出,与本文预期一致。
3. 不确定性感知差异。除上述企业性质导致的间接风险因素外,企业自身对不确定性的直观感受在其供应链决策中也占据重要地位。如果企业在日常经营时感知到不确定性增强,那么其规避风险的动机也会增强,这种避险动机会驱动企业改变其长期的供应链决策。因此,不确定性感知差异亦是企业维度风险异质性的体现之一。借鉴聂辉华等(2020)的做法,本文利用文本挖掘方式从中国A股上市公司年报中提取信息,构建衡量企业对政策不确定性感知程度指标,并据其均值分组进行检验。表3列(5)和列(6)结果显示,在不确定性感知程度较强的企业组合中,人工智能应用的估计系数显著为正,说明这组企业引入人工智能后推动供应链嵌入概率增加的因果影响更突出。该类企业对经济政策不确定性的感知更加敏感,而较高的不确定性感知意味着其对风险分散和稳定预期的迫切程度更高,此时人工智能技术的应用无疑为此类企业注入了“强心剂”,成为其拓展供应链合作脉络的重要动力,因此人工智能应用的供应链嵌入促进效果更强。反之,当企业对不确定性感知迟钝时,其往往不会立即采取措施应对潜在风险,“嵌入”供应链动机较弱,人工智能难以在此类企业中发挥作用。
(二)基于行业风险特征的视角
从行业维度来看,企业所处行业差异也会影响其在不同风险下的管理决策,进而对人工智能作用发挥产生影响。进一步地,本部分继续从行业因素视角切入,根据不确定性风险在行业层面的表现特征,选择行业竞争程度和行业链条位置差异来考量人工智能应用的异质性作用。
1. 行业竞争程度差异。企业参与供应链管理时,行业环境的差异会给企业带来不同的经营风险和财务风险(刘文欢等,2018)。在竞争激烈的行业中,企业通常被迫进行价格竞争以争夺市场份额,这导致其利润空间被压缩,使企业更容易受到市场波动和经济变化的影响。此外,较高的行业竞争度通常伴随着技术的快速变革,带来了技术升级和转型风险。对此类企业而言,其利用人工智能技术拓展供应链的意愿可能更加强烈。因此,本文参照李万利等(2023)的做法,使用赫芬达尔指数度量企业所处行业竞争程度,并根据均值进行分组检验。表4列(1)和列(2)分组估计的结果显示,在行业竞争度较高的企业分组中,核心解释变量估计系数显著为正,而在低竞争行业分组中不显著。这表明,处于高竞争行业的企业在引入人工智能后推动其自身嵌入供应链的作用更加明显,行业竞争度高增加了企业面临的市场、财务、技术和运营等多方面的不确定性,使其更容易受到外部环境变化的冲击,也变相增强了企业对供应链拓展的动机,使得人工智能应用更容易引导此类企业嵌入到供应链网络中。
| (1)行业 竞争度高 |
(2)行业 竞争度低 |
(3)处于 上游行业 |
(4)处于 下游行业 |
|
| AI | ||||
| ( |
( |
( |
( |
|
| Controls | 控制 | 控制 | 控制 | 控制 |
| Firm/Year/Industry | 控制 | 控制 | 控制 | 控制 |
| 观测值 | 5 727 | 4 692 | 5 224 | 5 174 |
2. 行业链条位置差异。上下游产业非对称分布的“垂直结构”也是造成供应链体系演化差异的重要因素。企业所处产业链环节不同,其面临的外部环境风险也存在差异。为此,本文基于Antràs等(2012)提出的行业上游度理论,通过WIOD数据库中的中国投入产出数据测算得到行业上游度指数。该指标反映了各行业在生产链条中所处的相对位置,其值较大则意味着行业处于生产链的相对上游环节。借鉴张树山和谷城(2024)的做法,本文根据该指标均值将样本分为产业链上游企业和下游企业进行检验。表4列(3)和列(4)结果显示,解释变量系数仅在行业上游度较低的分组中显著,即人工智能应用对产业链下游企业的供应链嵌入促进效果更明显。从当下国内市场结构来看,“大中型国有企业部分主导上游市场垄断,民营企业主导下游市场竞争”的分布格局正逐步形成(钱学锋等,2019)。处于下游行业的企业在市场竞争中面临更加复杂的外部环境以及更为严峻的机会主义风险,对此类企业而言,其自身所处供应链条更加脆弱,不确定性风险下发生断链堵链的可能性更高(张树山和谷城,2024)。因此,下游企业追求多元化供应链合作的动机更强,人工智能应用帮助其扩大合作网络和提供潜在商业伙伴的作用空间更大,进而更容易使其实现供应链网络嵌入。
(三)基于供应链现实因素的视角
某些供应链管理中的现实因素也可能使企业对不确定性风险的防范及应对发生改变,例如供应链各节点之间的地理距离和相互依赖程度等。考虑到上述情境带来的异质性偏向,本部分基于供应链的长期现实情境,从供应链地理距离及供应链依赖程度差异切入来拆解不确定性风险的影响,并检验人工智能应用效果的差异性变化。
1. 供应链地理距离差异。地理距离是影响企业间交易活动乃至供应链整体效率的重要因素,也是企业在供应链管理时防控风险的重要考量。既有文献发现,供应商与企业地理距离越远,企业数字化转型程度越高(王华和郭思媛,2023),而大客户与企业地理距离的增加同样会对企业数智应用及供应链风险产生影响(王成园等,2024)。这表明,供应链地理距离与企业数字技术的应用密切相关。为此,本文以企业与其前五大供应商和客户间地理距离平均值作为企业所面临供应链地理距离的代理指标,并根据该指标均值进行分组检验。表5列(1)和列(2)结果显示,解释变量系数在供应链地理距离较大的企业分组中更显著。实际上,企业与主要交易商地理距离较大意味着其供应链分布较为松散,较高的物流成本增加了企业经营风险及流动性风险,不利于其应对潜在不确定性。因此对此类企业来说,其利用人工智能拓展新供应商和客户的动机更强,人工智能的引入在此类企业中能发挥更显著的效果。
| (1)供应链 地理距离大 |
(2)供应链 地理距离小 |
(3)供应链 依赖度高 |
(4)供应链 依赖度低 |
|
| AI | ||||
| ( |
( |
( |
( |
|
| Controls | 控制 | 控制 | 控制 | 控制 |
| Firm/Year/ Industry |
控制 | 控制 | 控制 | 控制 |
| 观测值 | 2 655 | 2 474 | 4 133 | 5 865 |
2. 供应链依赖程度差异。既有研究表明,供应链依赖度过高可能对企业的投融资等活动产生不利影响(王迪等,2016;王丹等,2020),易使企业经营风险增加。本文参考李万利等(2023)的研究,将企业前五大供应商和客户集中度平均值作为供应链依赖程度的衡量指标,并根据该指标均值分组检验。表5列(3)和列(4)结果显示,核心解释变量系数在供应链依赖度较高分组中更加显著,当企业对主要供应商或客户依赖度越高时,企业利用人工智能技术寻找新的供应商或客户的动机越强,人工智能应用对企业供应链嵌入的影响效果也越明显。因此,本文推测,对于供应链依赖程度较高的企业而言,可供其选择的供应商或客户网络较为有限,一旦经济不确定性加剧,此类企业将会面临较高的经营风险(Campello和Gao,2017),人工智能技术应用更有利于此类企业摆脱以往长时间依赖于单一供应商或客户的惯性。为了更好地应对依赖度过高导致的经营风险,高依赖企业也具有更强的动机来利用人工智能技术寻求新的供应商或客户,从而强化人工智能应用对供应链嵌入的促进效果。
七、结论与政策建议
本文基于共享商业关联的网络结构视角,考察了人工智能应用对中国企业供应链网络嵌入的影响。研究表明:第一,人工智能应用显著提升了企业供应链嵌入的概率,驱动更多企业间接嵌入而非简单参与到供应链网络中。第二,人工智能引入对企业供应链嵌入的促进作用主要是通过成本控制效应和分工专业化效应两条渠道来完成的。第三,基于不确定风险视角切入的异质性检验发现,人工智能对企业供应链嵌入的增强效果在资源优势较低、非初创期、不确定性感知较强的企业中更明显。在行业维度,这种效果在行业竞争程度较高、处于行业链条下游的企业中更加突出。从供应链现实因素考量,人工智能的供应链嵌入效应在供应链地理距离较远、依赖程度较高的企业中更为有效。
本文的研究结论揭示了人工智能应用对企业间建立供应—需求联系的积极影响,为进一步优化供应链配置、增强供应链韧性提供了如下政策启示:第一,应抓住人工智能“破浪”数字时代的发展契机,积极推动人工智能与产业链供应链的融合,打造更加高效、安全、稳定的智慧供应链体系,促进新质生产力的培育。政府部门应发挥引导作用,一方面可以通过制定激励政策,为企业提供科研经费和税收优惠,降低企业在技术引入初期的成本负担;另一方面,设立专项基金支持人工智能相关的培训项目,帮助企业尤其是中小企业提升技术应用能力,缩短技术落地时间。通过政策补贴与技术支持,促进企业逐步将人工智能技术引入并应用到日常生产及供应链管理中,逐步实现企业数字化转型,建设高效数字化供应链。第二,打通供应链中易堵、易断的关键穴窍,释放人工智能推动企业供应链嵌入的潜力。政府部门应重点关注供应链的流通效率,通过改善物流基础设施,不断完善上述环节所涉及的供应链基础设施的数字化建设。具体而言,应加强智慧物流基础设施建设,推动物流网络数字化转型,提高物流运输效率,降低企业物流成本。还应加快搭建全国统一的数字化物流信息平台,推动建立跨地域的供应链合作机制。通过高效整合供应链上的资源,促进要素资源在全国范围内循环起来,减少地理距离对企业供应链嵌入的限制,从而打通信息屏障、市场壁垒等长期堵点痛点,为应对市场变化、维护供应链安全韧性夯实基础。第三,企业应针对性调整自身对AI技术的应用,最大化其赋能效果。企业的市场分散化能力与商业网络的形成和演变密切相关。在不确定性的市场环境下,企业应根据自身特征、行业属性以及供应链地位及早进行布局和灵活调整,以优化与供应商客户的互动关系。资源优势地位较低的企业,应从战略上重视多重伙伴关系的建立,利用人工智能技术克服其资源劣势,通过供应链企业间合作分散潜在的机会主义风险。利用好数智赋能,有效协调供应链条上的间接商业联系,分散供应链风险。通过拓展高效多元的供应链伙伴关系,从而降低因供应链中某一环节问题而带来的风险,进而提升产业链供应链的整体稳定性和韧性。
| [1] | 包群, 但佳丽. 网络地位、共享商业关系与大客户占比[J]. 经济研究, 2021(10): 189–205. |
| [2] | 陈剑, 黄朔, 刘运辉. 从赋能到使能——数字化环境下的企业运营管理[J]. 管理世界, 2020(2): 117–128. DOI:10.3969/j.issn.1002-5502.2020.02.011 |
| [3] | 杜立, 钱雪松. 影子银行、信贷传导与货币政策有效性——基于上市公司委托贷款微观视角的经验证据[J]. 中国工业经济, 2021(8): 152–170. |
| [4] | 何勤, 李雅宁, 程雅馨, 等. 人工智能技术应用对就业的影响及作用机制研究——来自制造业企业的微观证据[J]. 中国软科学, 2020(S1): 213–222. |
| [5] | 胡安俊. 人工智能、综合赋能与经济循环[J]. 当代经济管理, 2022(5): 58–64. |
| [6] | 李贲, 吴利华. 开发区设立与企业成长: 异质性与机制研究[J]. 中国工业经济, 2018(4): 79–97. |
| [7] | 李静, 闫曰奇, 潘丽群. 人工智能、劳动力任务类型与城市规模工资溢价[J]. 财经研究, 2023(12): 62–76. |
| [8] | 李兰冰, 阎丽, 黄玖立. 交通基础设施通达性与非中心城市制造业成长: 市场势力、生产率及其配置效率[J]. 经济研究, 2019(12): 182–197. |
| [9] | 李万利, 刘虎春, 龙志能, 等. 企业数字化转型与供应链地理分布[J]. 数量经济技术经济研究, 2023(8): 90–110. |
| [10] | 刘骏, 张义坤. 数字化转型能提高企业供应链效率吗?——来自中国制造业上市公司年报文本分析的证据[J]. 产业经济研究, 2023(6): 73–86. |
| [11] | 刘文欢, 陈璐瑶, 蔡闫东. 行业环境、审计意见与债务成本[J]. 审计研究, 2018(3): 80–86. |
| [12] | 聂辉华, 阮睿, 沈吉. 企业不确定性感知、投资决策和金融资产配置[J]. 世界经济, 2020(6): 77–98. |
| [13] | 钱学锋, 张洁, 毛海涛. 垂直结构、资源误置与产业政策[J]. 经济研究, 2019(2): 54–67. |
| [14] | 陶锋, 王欣然, 徐扬, 等. 数字化转型、产业链供应链韧性与企业生产率[J]. 中国工业经济, 2023(5): 118–136. DOI:10.3969/j.issn.1006-480X.2023.05.007 |
| [15] | 王成园,王琼,罗彪,等. 关系视角下大客户地理距离对企业数字化转型导向的影响[J/OL]. 中国管理科学,1-14. https://doi.org/10.16381/j.cnki.issn1003-207x.2022.2276,2024-10-31. |
| [16] | 王丹, 李丹, 李欢. 客户集中度与企业投资效率[J]. 会计研究, 2020(1): 110–125. |
| [17] | 王华, 郭思媛. 供应商地理距离与企业数字化转型[J]. 甘肃社会科学, 2023(6): 202–213. |
| [18] | 王永钦, 董雯. 机器人的兴起如何影响中国劳动力市场?——来自制造业上市公司的证据[J]. 经济研究, 2020(10): 159–175. DOI:10.3969/j.issn.1673-291X.2020.10.072 |
| [19] | 巫强, 姚雨秀. 企业数字化转型与供应链配置: 集中化还是多元化[J]. 中国工业经济, 2023(8): 99–117. DOI:10.3969/j.issn.1006-480X.2023.08.007 |
| [20] | 姚加权, 张锟澎, 郭李鹏, 等. 人工智能如何提升企业生产效率?——基于劳动力技能结构调整的视角[J]. 管理世界, 2024(2): 101–116,133. |
| [21] | 袁淳, 肖土盛, 耿春晓, 等. 数字化转型与企业分工: 专业化还是纵向一体化[J]. 中国工业经济, 2021(9): 137–155. DOI:10.3969/j.issn.1006-480X.2021.09.008 |
| [22] | 张树山, 谷城. 供应链数字化与供应链韧性[J]. 财经研究, 2024(7): 21–34. |
| [23] | 张誉夫, 谢建国, 孟庆伟. 人工智能应用有助于促进企业专业化分工吗——基于中国上市企业数据的研究[J]. 山西财经大学学报, 2024(7): 87–98. |
| [24] | Acemoglu D, Carvalho V M, Ozdaglar A, et al. The network origins of aggregate fluctuations[J]. Econometrica, 2012, 80(5): 1977–2016. DOI:10.3982/ECTA9623 |
| [25] | Acemoglu D, Restrepo P. Automation and new tasks: How technology displaces and reinstates labor[J]. Journal of Economic Perspectives, 2019, 33(2): 3–30. DOI:10.1257/jep.33.2.3 |
| [26] | Antràs P, Chor D, Fally T, et al. Measuring the upstreamness of production and trade flows[J]. American Economic Review, 2012, 102(3): 412–416. DOI:10.1257/aer.102.3.412 |
| [27] | Bernard A B, Moxnes A, Saito Y U. Production networks, geography, and firm performance[J]. Journal of Political Economy, 2019, 127(2): 639–688. DOI:10.1086/700764 |
| [28] | Büyüközkan G, Göçer F. Digital supply chain: Literature review and a proposed framework for future research[J]. Computers in Industry, 2018, 97: 157–177. DOI:10.1016/j.compind.2018.02.010 |
| [29] | Cachon G P, Randall T, Schmidt G M. In search of the bullwhip effect[J]. Manufacturing & Service Operations Management, 2007, 9(4): 457–479. |
| [30] | Campello M, Gao J. Customer concentration and loan contract terms[J]. Journal of Financial Economics, 2017, 123(1): 108–136. DOI:10.1016/j.jfineco.2016.03.010 |
| [31] | Coase R H. The nature of the firm[J]. Economica, 1937, 4(16): 386–405. DOI:10.1111/j.1468-0335.1937.tb00002.x |
| [32] | Conceição P, Gibson D V, Heitor M V, et al. Beyond the digital economy: A perspective on innovation for the learning society[J]. Technological Forecasting and Social Change, 2001, 67(2-3): 115–142. DOI:10.1016/S0040-1625(01)00128-7 |
| [33] | Ersahin N, Giannetti M, Huang R D. Supply chain risk: Changes in supplier composition and vertical integration[J]. Journal of International Economics, 2024, 147: 103854. DOI:10.1016/j.jinteco.2023.103854 |
| [34] | Fan J P H. Price uncertainty and vertical integration: An examination of petrochemical firms[J]. Journal of Corporate Finance, 2000, 6(4): 345–376. DOI:10.1016/S0929-1199(00)00006-7 |
| [35] | Fatorachian H, Kazemi H. Impact of industry 4.0 on supply chain performance[J]. Production Planning & Control, 2021, 32(1): 63–81. |
| [36] | Goldfarb A, Tucker C. Digital economics[J]. Journal of Economic Literature, 2019, 57(1): 3–43. DOI:10.1257/jel.20171452 |
| [37] | Goldschmidt D, Schmieder J F. The rise of domestic outsourcing and the evolution of the German wage structure[J]. The Quarterly Journal of Economics, 2017, 132(3): 1165–1217. DOI:10.1093/qje/qjx008 |
| [38] | Graetz G, Michaels G. Robots at work[J]. The Review of Economics and Statistics, 2018, 100(5): 753–768. DOI:10.1162/rest_a_00754 |
| [39] | McGuire T,Manyika J,Chui M. Why big data is the new competitive advantage[J/OL]. Ivey Business Journal,July/August 2012,https://iveybusinessjournal.com/publication/why-big-data-is-the-new-competitive-advantage/. |
| [40] | Rajan R G, Zingales L. Financial dependence and growth[J]. The American Economic Review, 1998, 88(3): 559–586. |